Para calcular los pagos periódicos fijos, utilizamos el mismo método que emplean otras entidades financieras.
Los pagos periódicos se determinan de manera que, para un tipo de interés determinado, los pagos periódicos futuros equivalgan a recuperar la inversión hoy. Goparity utiliza el método de recuento de 30/360 días, que contempla un mes de 30 días y un año de 360 días.
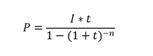
Para determinar su pago periódico, utilizamos la siguiente fórmula:

Dónde:
P = pago periódico
I = importe invertido estipulado en el acuerdo mutuo en el momento de la emisión
r = tipo de interés periódico, es decir
Tipo de interés nominal = tipo de interés del proyecto
n = número total de pagos que incluyen intereses y reembolso del importe adeudado
Tenga en cuenta que esta fórmula sólo funciona si el pago periódico incluye intereses y parte del reembolso del importe adeudado.